Официальное опубликование правовых актов
ОФИЦИАЛЬНОЕ ОПУБЛИКОВАНИЕ
Постановление администрации Костромской области от 22.11.2021 № 508-а
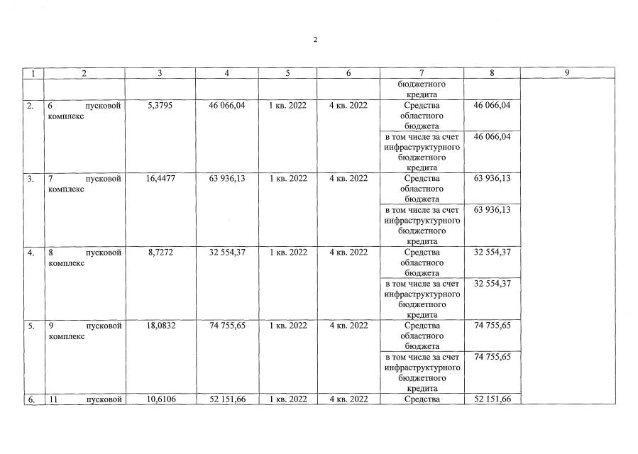
"Об утверждении детализированного перечня мероприятий, реализуемых в рамках инфраструктурного проекта Костромской области "Комплексное развитие территорий в городском округе город Мантурово и Нейском муниципальном округе Костромской области в составе мероприятия "Газификация Костромской области (г. Нея, г. Мантурово)"
Номер опубликования: 4400202111230006
Дата опубликования: 23.11.2021
Страница №3 из 8:
Увеличить