Официальное опубликование правовых актов
ОФИЦИАЛЬНОЕ ОПУБЛИКОВАНИЕ
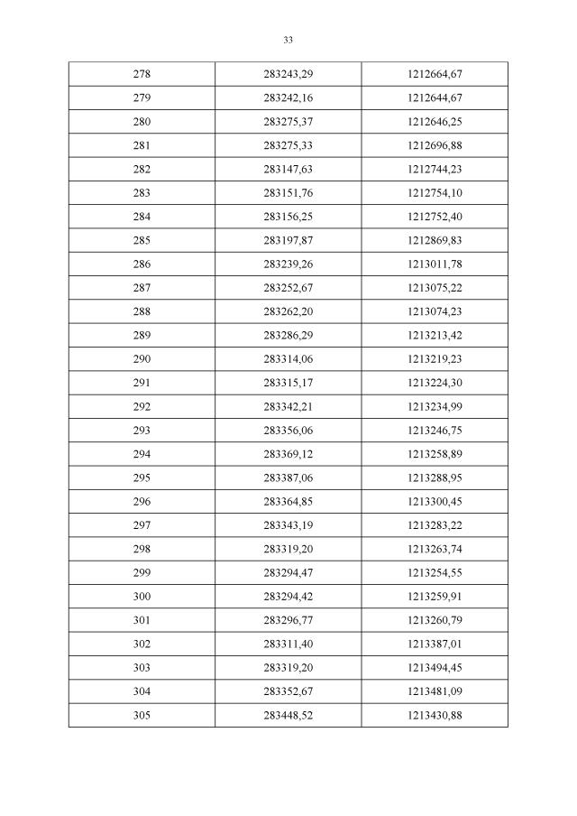
Постановление администрации Костромской области от 27.07.2021 № 326-а
"О резервировании для государственных нужд Костромской области земель для строительства автомобильной дороги Москва-Ярославль-Кострома-Киров-Пермь-Екатеринбург на участке обхода города Костромы с мостом через реку Волгу"
Номер опубликования: 4400202107270001
Дата опубликования: 27.07.2021
Страница №35 из 87:
Увеличить