Официальное опубликование правовых актов
ОФИЦИАЛЬНОЕ ОПУБЛИКОВАНИЕ
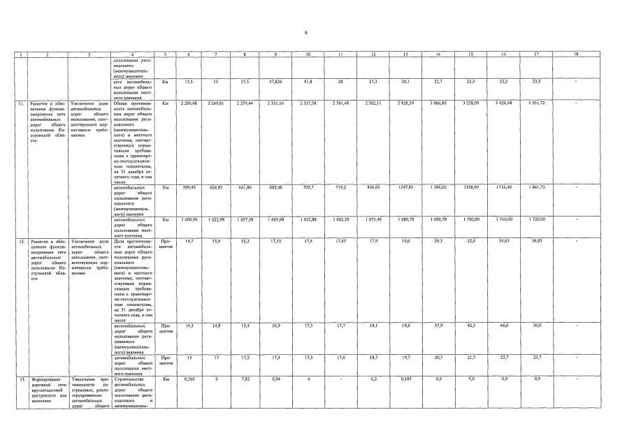
Постановление администрации Костромской области от 22.07.2021 № 323-а
"О внесении изменений в постановление администрации Костромской области от 25.02.2014 № 61-а"
Номер опубликования: 4400202107220001
Дата опубликования: 22.07.2021
Страница №12 из 22:
Увеличить