Официальное опубликование правовых актов
ОФИЦИАЛЬНОЕ ОПУБЛИКОВАНИЕ
Постановление администрации Костромской области от 11.05.2021 № 205-а
"О внесении изменений в постановление администрации Костромской области от 26.03.2014 № 100-а"
Номер опубликования: 4400202105120018
Дата опубликования: 12.05.2021
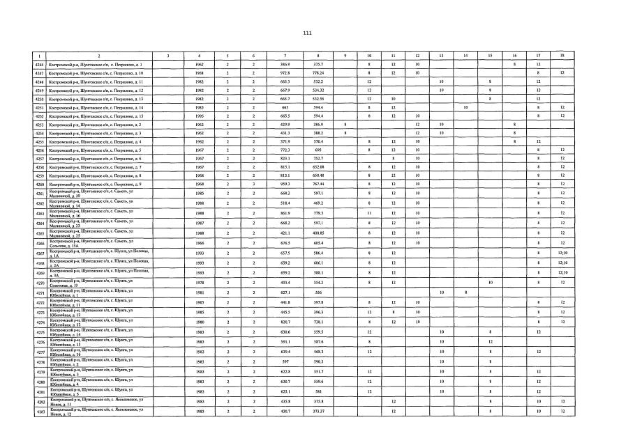
Страница №113 из 153:
Увеличить