Официальное опубликование правовых актов
ОФИЦИАЛЬНОЕ ОПУБЛИКОВАНИЕ
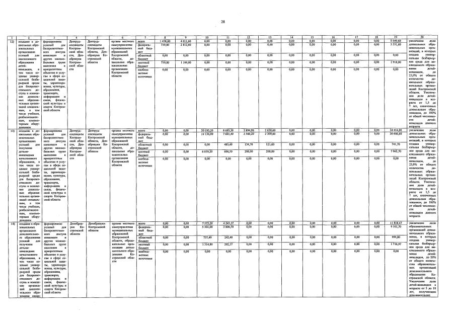
Постановление администрации Костромской области от 20.02.2021 № 63-а
"О внесении изменений в постановление администрации Костромской области от 26.12.2013 № 569-а"
Номер опубликования: 4400202102200011
Дата опубликования: 20.02.2021
Страница №33 из 56:
Увеличить