Официальное опубликование правовых актов
ОФИЦИАЛЬНОЕ ОПУБЛИКОВАНИЕ
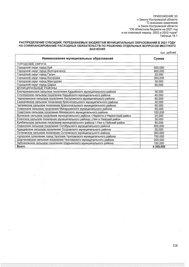
Закон Костромской области от 19.02.2021 № 55-7-ЗКО
"О внесении изменений в Закон Костромской области "Об областном бюджете на 2021 год и на плановый период 2022 и 2023 годов"
Номер опубликования: 4400202102190007
Дата опубликования: 19.02.2021
Страница №528 из 531:
Увеличить