Официальное опубликование правовых актов
ОФИЦИАЛЬНОЕ ОПУБЛИКОВАНИЕ
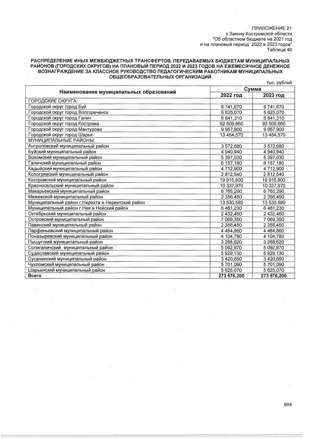
Закон Костромской области от 21.12.2020 № 37-7-ЗКО
"Об областном бюджете на 2021 год и на плановый период 2022 и 2023 годов"
Номер опубликования: 4400202012220003
Дата опубликования: 22.12.2020
Страница №604 из 618:
Увеличить