Официальное опубликование правовых актов
ОФИЦИАЛЬНОЕ ОПУБЛИКОВАНИЕ
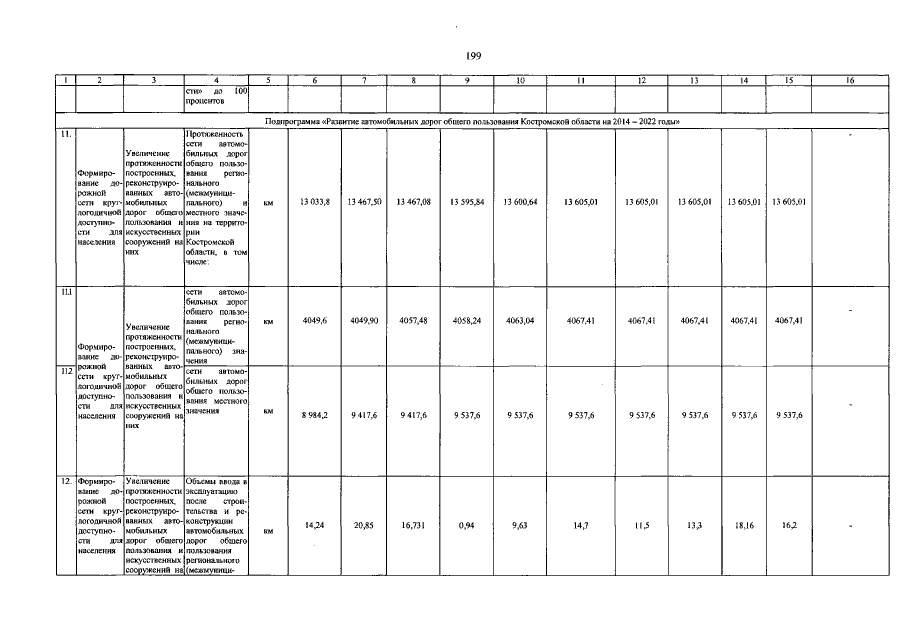
Постановление администрации Костромской области от 28.06.2016 № 243-а
"О внесении изменения в постановление администрации Костромской области от 25.02.2014 № 61-а"
Номер опубликования: 4400201607010030
Дата опубликования: 01.07.2016
Страница №200 из 270:
Увеличить