Официальное опубликование правовых актов
ОФИЦИАЛЬНОЕ ОПУБЛИКОВАНИЕ
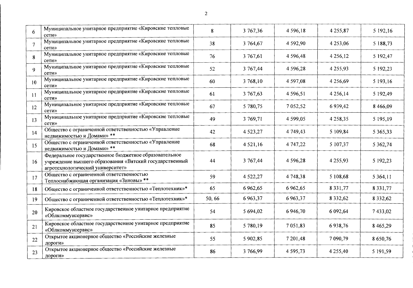
Решение правления региональной службы по тарифам Кировской области от 10.12.2025 № 42/2-тэ-2026
"О внесении изменений в некоторые решения правления региональной службы по тарифам Кировской области"
(Зарегистрирован 17.12.2025 № 2882)
Номер опубликования: 4301202512230031
Дата опубликования: 23.12.2025
Страница №5 из 14:
Увеличить