Официальное опубликование правовых актов
ОФИЦИАЛЬНОЕ ОПУБЛИКОВАНИЕ
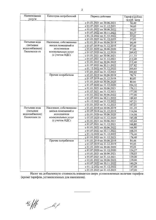
Решение правления региональной службы по тарифам Кировской области от 14.11.2022 № 41/39-кс-2022
"О внесении изменения в решение правления РСТ Кировской области от 18.12.2018 № 45/155-кс-2019"
Номер опубликования: 4301202211170019
Дата опубликования: 17.11.2022
Страница №4 из 4:
Увеличить