Официальное опубликование правовых актов
ОФИЦИАЛЬНОЕ ОПУБЛИКОВАНИЕ
Распоряжение министерства охраны окружающей среды Кировской области от 09.08.2022 № 18
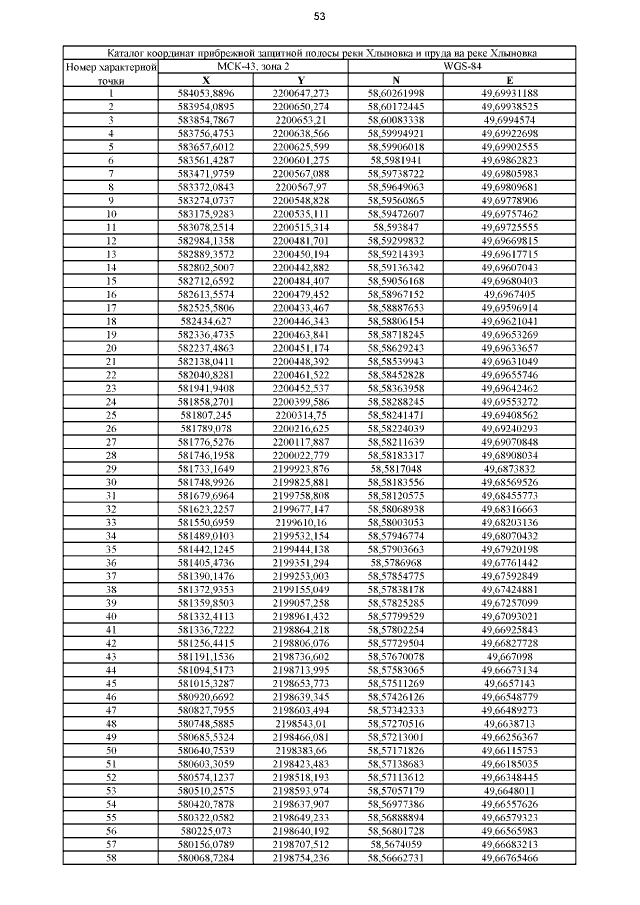
"Об утверждении местоположения береговых линий (границ водных объектов), границ береговых полос, границ прибрежных защитных полос и границ водоохранных зон рек Хлыновка, Сандаловка (0 – 8,5 км от устья), Никулинка (0 – 17 км от устья) и Плоская (0 – 7 км от устья) в границах муниципального образования "город Киров"
Номер опубликования: 4301202208150003
Дата опубликования: 15.08.2022
Страница №56 из 96:
Увеличить