Официальное опубликование правовых актов
ОФИЦИАЛЬНОЕ ОПУБЛИКОВАНИЕ
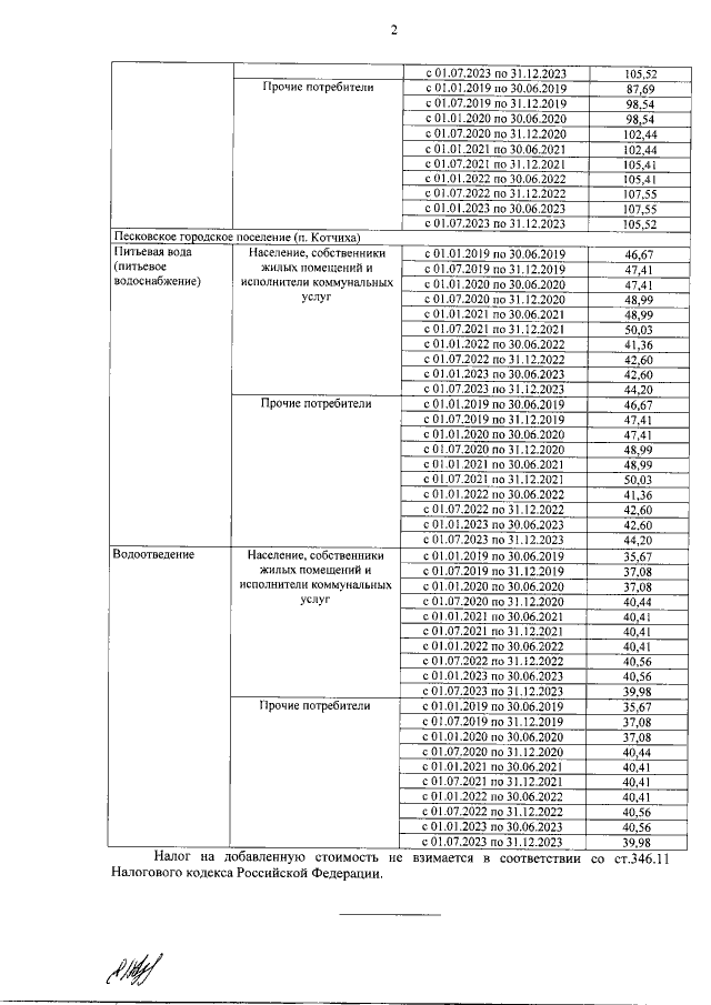
Решение правления региональной службы по тарифам Кировской области от 09.11.2021 № 39/50-кс-2022
"О внесении изменения в решение правления РСТ Кировской области от 20.11.2018 № 41/42-кс-2019"
Номер опубликования: 4301202111150035
Дата опубликования: 15.11.2021
Страница №4 из 4:
Увеличить