Официальное опубликование правовых актов
ОФИЦИАЛЬНОЕ ОПУБЛИКОВАНИЕ
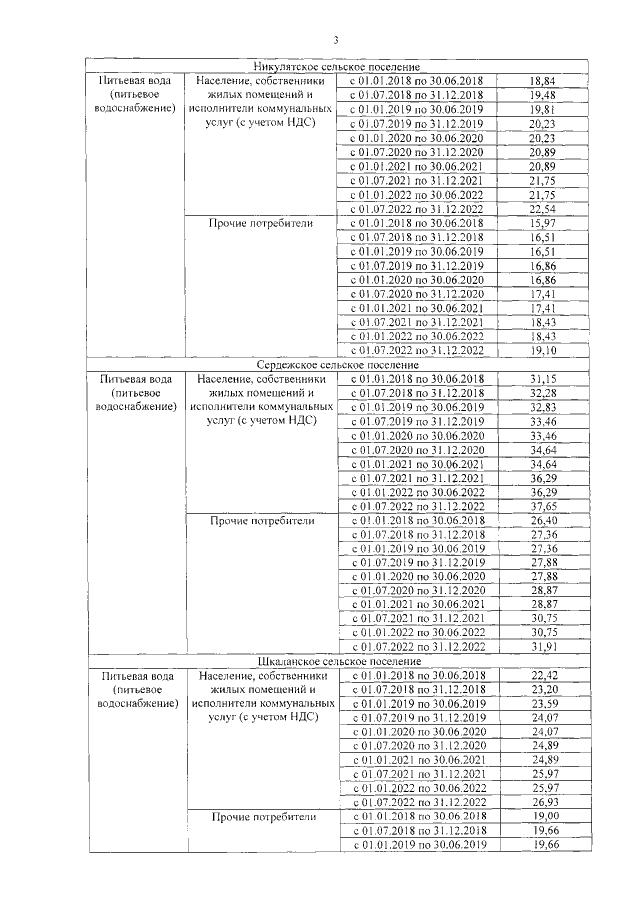
Решение правления региональной службы по тарифам Кировской области от 31.03.2020 № 9/2-кс-2020
"О тарифах на питьевую воду (питьевое водоснабжение) для муниципального унитарного предприятия "Водоканал"
Номер опубликования: 4301202004030002
Дата опубликования: 03.04.2020
Страница №10 из 11:
Увеличить