Официальное опубликование правовых актов
ОФИЦИАЛЬНОЕ ОПУБЛИКОВАНИЕ
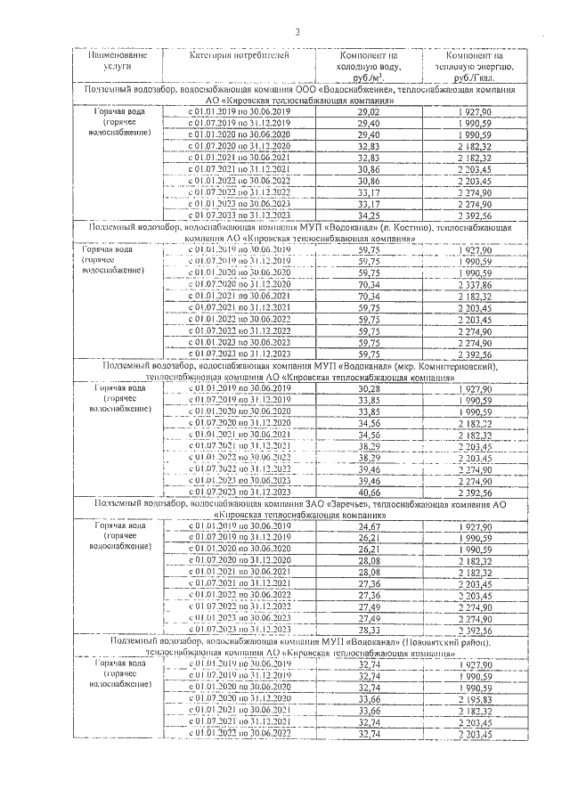
Решение правления региональной службы по тарифам Кировской области от 20.12.2019 № 46/39-кс-2020
"О внесении изменений в решение правления РСТ Кировской области от 19.12.2018 № 46/10-кс-2019"
Номер опубликования: 4301201912240004
Дата опубликования: 24.12.2019
Страница №5 из 11:
Увеличить