Официальное опубликование правовых актов
ОФИЦИАЛЬНОЕ ОПУБЛИКОВАНИЕ
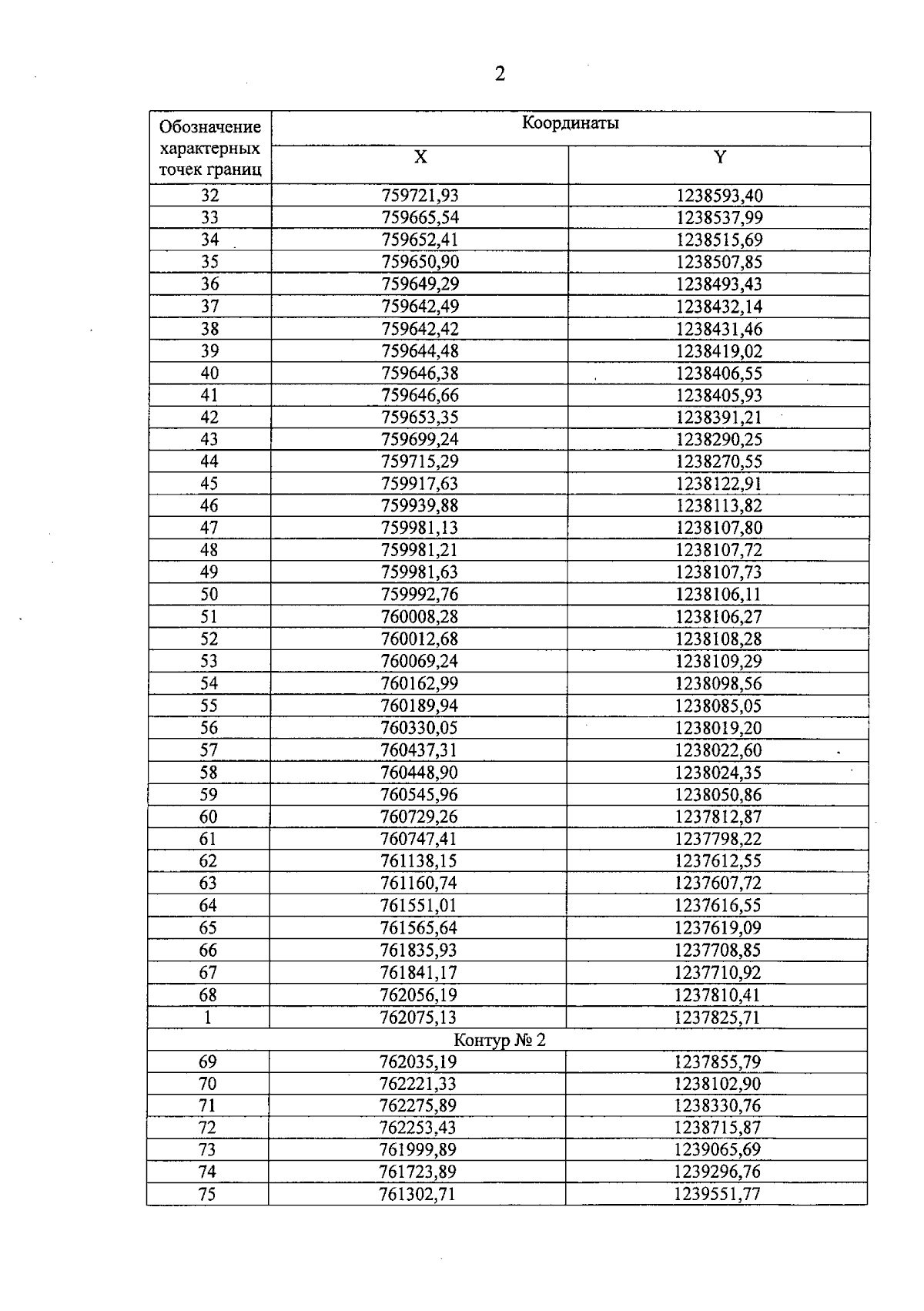
Указ Губернатора Кировской области от 28.12.2024 № 205
"Об охранной зоне памятника природы регионального значения "Болотный массив "Поскотино-Калище"
Номер опубликования: 4300202412290041
Дата опубликования: 29.12.2024
Страница №4 из 11:
Увеличить