Официальное опубликование правовых актов
ОФИЦИАЛЬНОЕ ОПУБЛИКОВАНИЕ
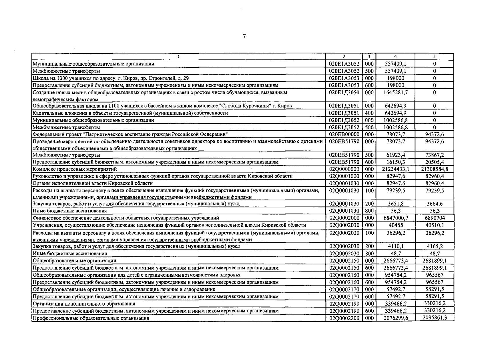
Закон Кировской области от 19.12.2024 № 346-ЗО
"О внесении изменений в Закон Кировской области "Об областном бюджете на 2024 год и на плановый период 2025 и 2026 годов"
Номер опубликования: 4300202412240006
Дата опубликования: 24.12.2024
Страница №135 из 543:
Увеличить