Официальное опубликование правовых актов
ОФИЦИАЛЬНОЕ ОПУБЛИКОВАНИЕ
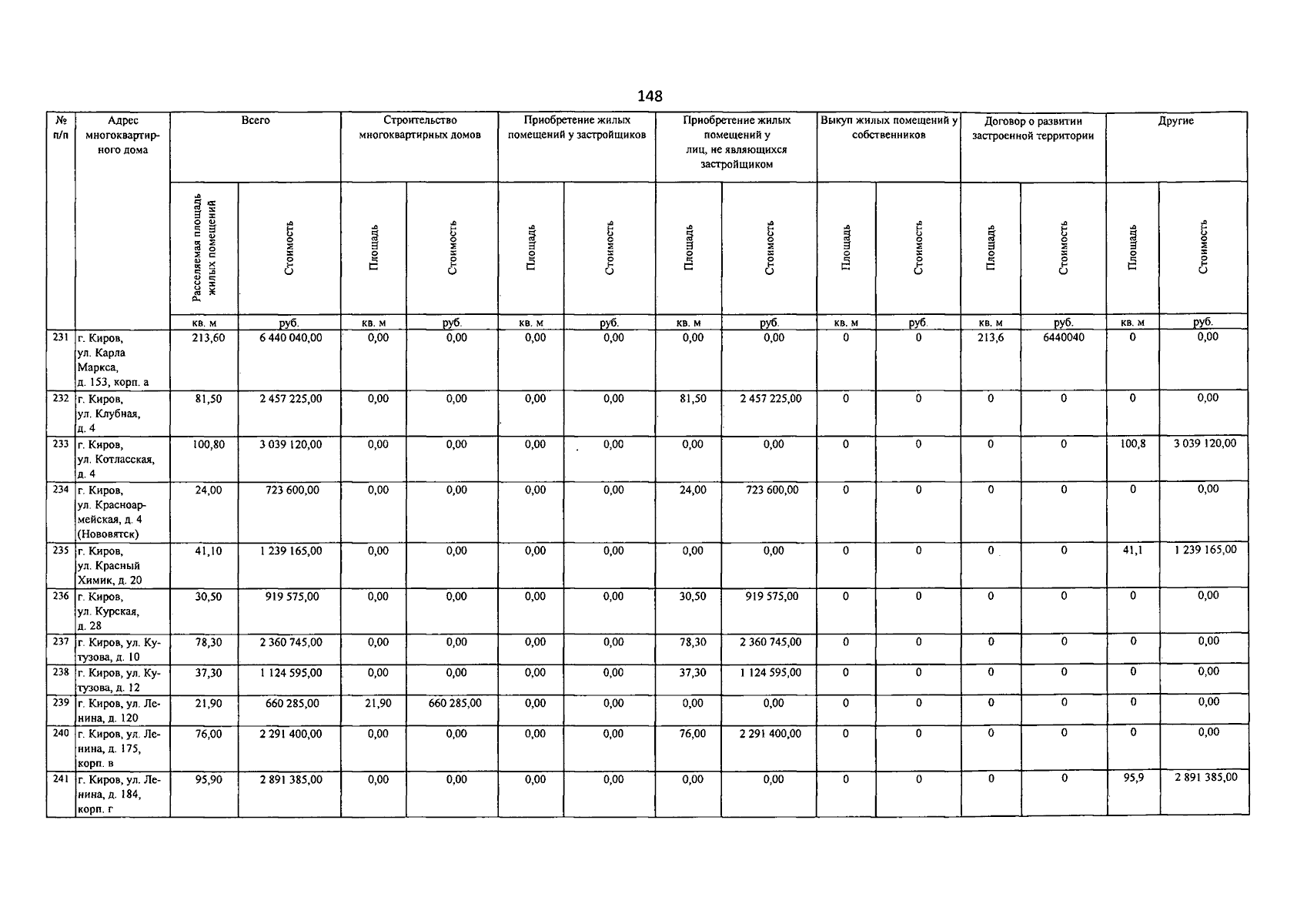
Постановление Правительства Кировской области от 22.12.2023 № 729-П
"О внесении изменений в постановление Правительства Кировской области от 18.06.2013 № 213/365 "Об областной адресной программе "Переселение граждан, проживающих на территории Кировской области, из аварийного жилищного фонда" на 2013 – 2019 годы"
Номер опубликования: 4300202312280002
Дата опубликования: 28.12.2023
Страница №149 из 194:
Увеличить