Официальное опубликование правовых актов
ОФИЦИАЛЬНОЕ ОПУБЛИКОВАНИЕ
Постановление Правительства Кировской области от 03.08.2023 № 415-П
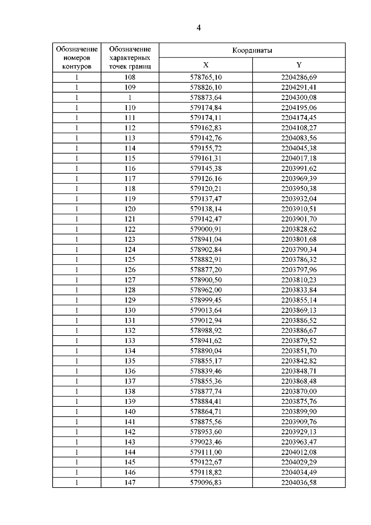
"О внесении изменений в постановление Правительства Кировской области от 25.06.2020 № 333-П "Об утверждении границ особо охраняемой природной территории регионального значения "Зеленая зона городов Кирова, Кирово-Чепецка и Слободского"
Номер опубликования: 4300202308100001
Дата опубликования: 10.08.2023
Страница №228 из 8290:
Увеличить