Официальное опубликование правовых актов
ОФИЦИАЛЬНОЕ ОПУБЛИКОВАНИЕ
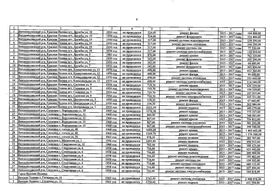
Постановление Правительства Кировской области от 21.09.2022 № 510-П
"О внесении изменений в постановление Правительства Кировской области от 21.03.2014 № 254/210"
Номер опубликования: 4300202209280002
Дата опубликования: 28.09.2022
Страница №12 из 1993:
Увеличить