Официальное опубликование правовых актов
ОФИЦИАЛЬНОЕ ОПУБЛИКОВАНИЕ
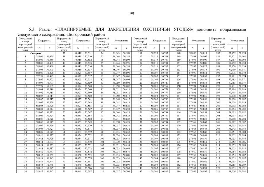
Указ Губернатора Кировской области от 17.08.2022 № 46
"О внесении изменений в Указ Губернатора Кировской области от 02.08.2021 № 112"
Номер опубликования: 4300202208180001
Дата опубликования: 18.08.2022
Страница №100 из 119:
Увеличить