Официальное опубликование правовых актов
ОФИЦИАЛЬНОЕ ОПУБЛИКОВАНИЕ
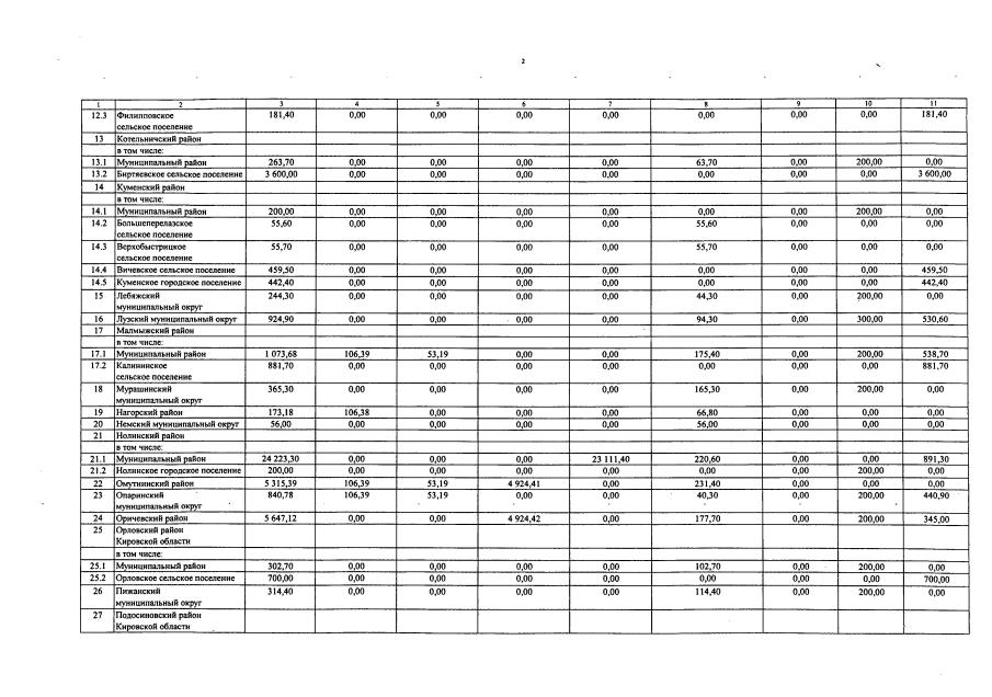
Закон Кировской области от 15.07.2022 № 91-ЗО
"О внесении изменений в Закон Кировской области "Об областном бюджете на 2022 год и на плановый период 2023 и 2024 годов"
Номер опубликования: 4300202207200004
Дата опубликования: 20.07.2022
Страница №419 из 489:
Увеличить