Официальное опубликование правовых актов
ОФИЦИАЛЬНОЕ ОПУБЛИКОВАНИЕ
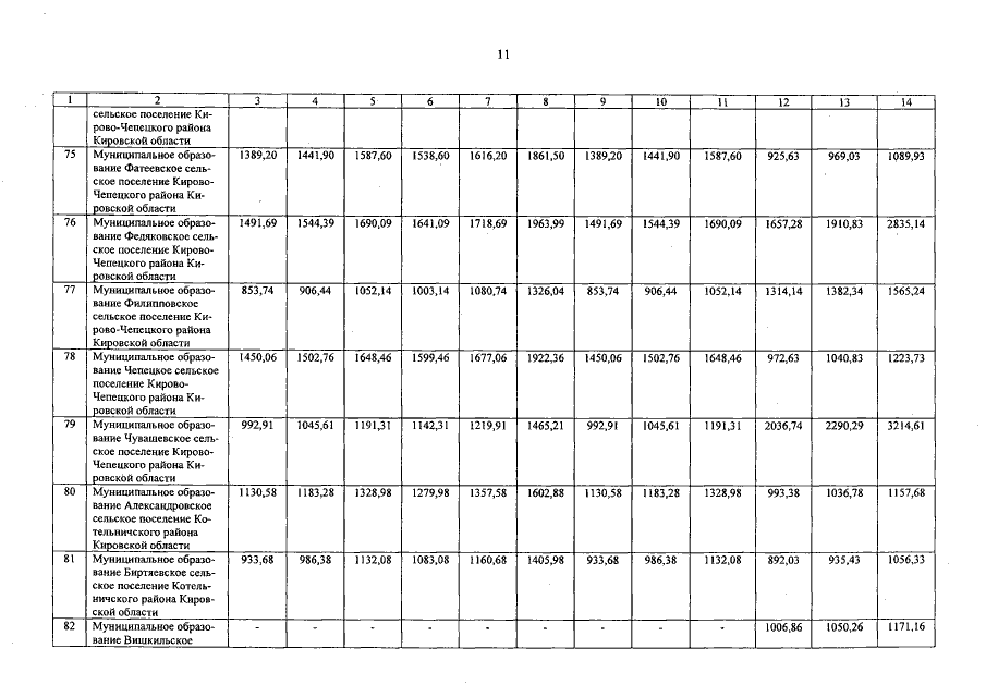
Постановление Правительства Кировской области от 28.06.2022 № 321-П
"О внесении изменения в постановление Правительства Кировской области от 28.06.2018 № 312-П"
Номер опубликования: 4300202206300004
Дата опубликования: 30.06.2022
Страница №12 из 35:
Увеличить