Официальное опубликование правовых актов
ОФИЦИАЛЬНОЕ ОПУБЛИКОВАНИЕ
Постановление Правительства Кировской области от 22.06.2022 № 309-П
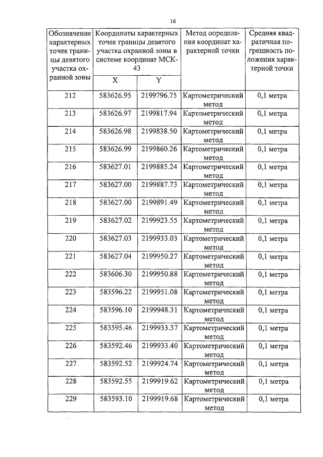
"О зонах охраны объекта культурного наследия (памятника истории и культуры) народов Российской Федерации федерального значения "Ансамбль Трифонова монастыря", расположенного по адресу: Кировская область, г. Киров, Первомайский район, ул. Горбачева, д. 4, включая входящие в состав ансамбля объекты культурного наследия (памятники истории и культуры) народов Российской Федерации федерального значения "Успенский собор", "Надвратная церковь", "Трехсвятительская церковь", "Благовещенская церковь", "Настоятельский корпус", "Братский корпус", "Подсобные помещения", и требованиях к градостроительным регламентам в границах территорий данных зон"
Номер опубликования: 4300202206230007
Дата опубликования: 23.06.2022
Страница №20 из 106:
Увеличить