Официальное опубликование правовых актов
ОФИЦИАЛЬНОЕ ОПУБЛИКОВАНИЕ
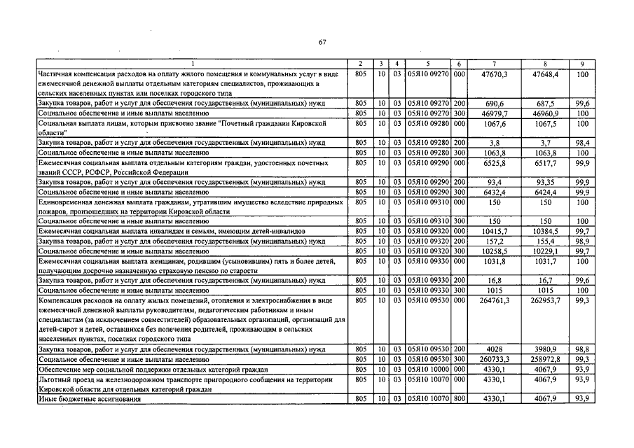
Закон Кировской области от 06.06.2022 № 81-ЗО
"Об исполнении областного бюджета за 2021 год"
Номер опубликования: 4300202206080003
Дата опубликования: 08.06.2022
Страница №178 из 401:
Увеличить