Официальное опубликование правовых актов
ОФИЦИАЛЬНОЕ ОПУБЛИКОВАНИЕ
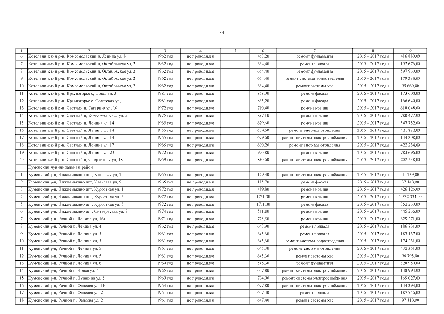
Постановление Правительства Кировской области от 16.05.2022 № 243-П
"О внесении изменения в постановление Правительства Кировской области от 21.03.2014 № 254/210"
Номер опубликования: 4300202205190002
Дата опубликования: 19.05.2022
Страница №35 из 2404:
Увеличить