Официальное опубликование правовых актов
ОФИЦИАЛЬНОЕ ОПУБЛИКОВАНИЕ
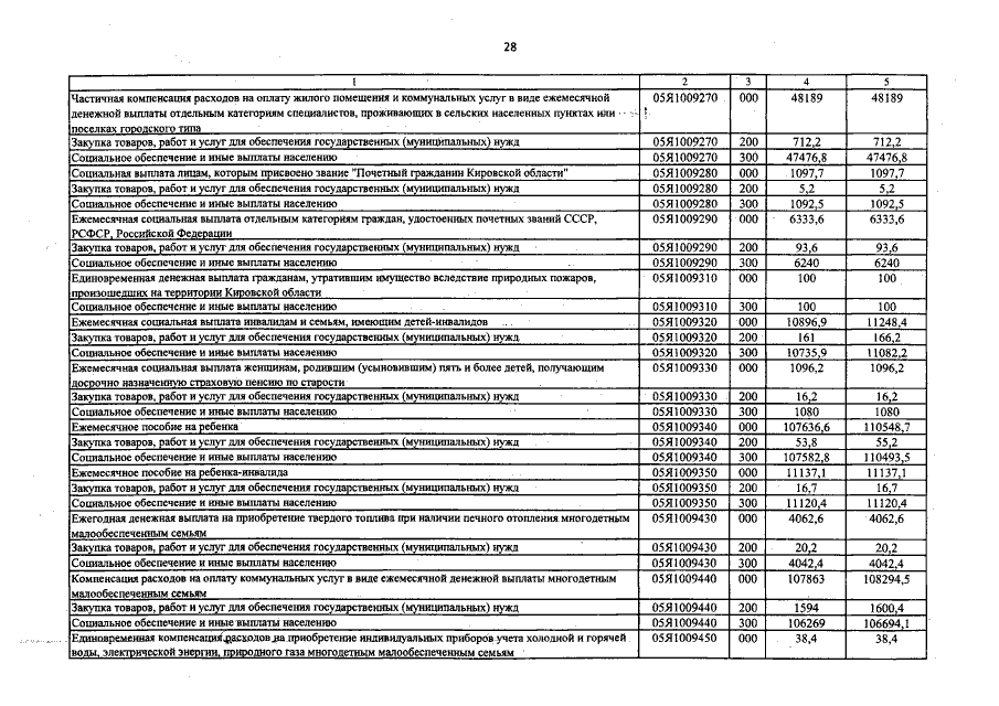
Закон Кировской области от 28.02.2022 № 45-ЗО
"О внесении изменений в Закон Кировской области "Об областном бюджете на 2022 год и на плановый период 2023 и 2024 годов"
Номер опубликования: 4300202203020001
Дата опубликования: 02.03.2022
Страница №119 из 436:
Увеличить