Официальное опубликование правовых актов
ОФИЦИАЛЬНОЕ ОПУБЛИКОВАНИЕ
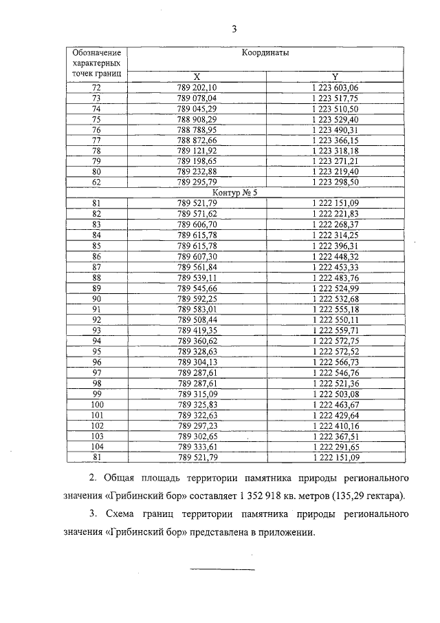
Постановление Правительства Кировской области от 07.12.2021 № 687-П
"Об утверждении границ территорий памятников природы регионального значения в Подосиновском районе"
Номер опубликования: 4300202112140001
Дата опубликования: 14.12.2021
Страница №15 из 41:
Увеличить