Официальное опубликование правовых актов
ОФИЦИАЛЬНОЕ ОПУБЛИКОВАНИЕ
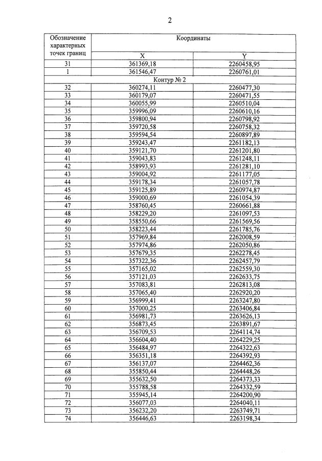
Постановление Правительства Кировской области от 07.12.2021 № 685-П
"Об утверждении границ территорий памятников природы регионального значения в Малмыжском районе"
Номер опубликования: 4300202112100008
Дата опубликования: 10.12.2021
Страница №7 из 18:
Увеличить