Официальное опубликование правовых актов
ОФИЦИАЛЬНОЕ ОПУБЛИКОВАНИЕ
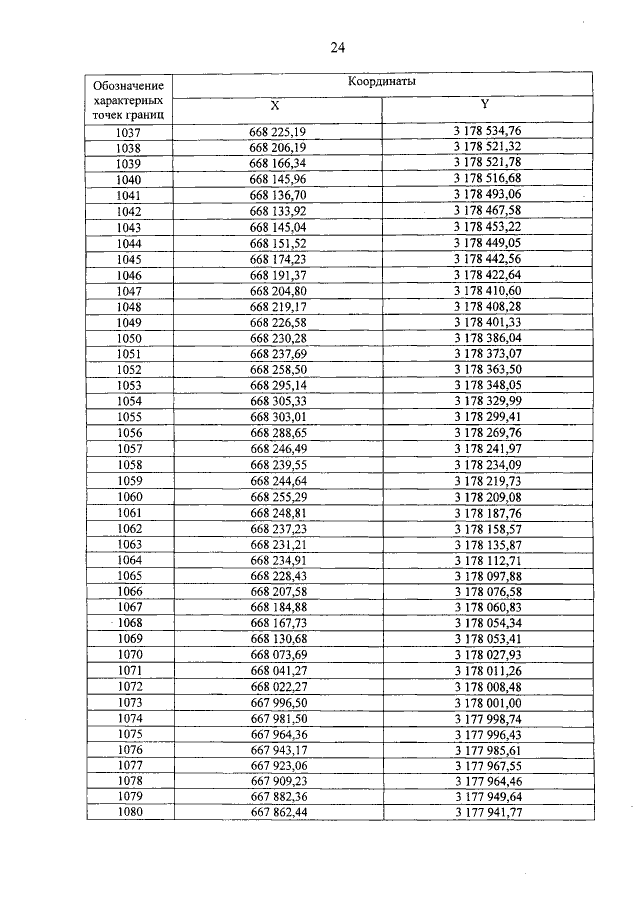
Постановление Правительства Кировской области от 07.12.2021 № 682-П
"Об утверждении границ территорий памятников природы регионального значения в Верхнекамском районе"
Номер опубликования: 4300202112100003
Дата опубликования: 10.12.2021
Страница №31 из 48:
Увеличить