Официальное опубликование правовых актов
ОФИЦИАЛЬНОЕ ОПУБЛИКОВАНИЕ
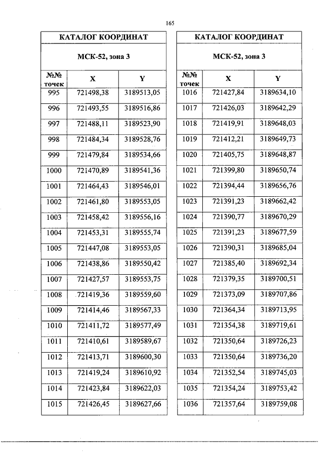
Закон Кировской области от 09.11.2021 № 13-ЗО
"Об утверждении Дополнительного соглашения к Соглашению от 25 декабря 2019 года между Кировской областью и Нижегородской областью об описании местоположения границы между Кировской области и Нижегородской областью"
Номер опубликования: 4300202111120016
Дата опубликования: 12.11.2021
Страница №166 из 269:
Увеличить