Официальное опубликование правовых актов
ОФИЦИАЛЬНОЕ ОПУБЛИКОВАНИЕ
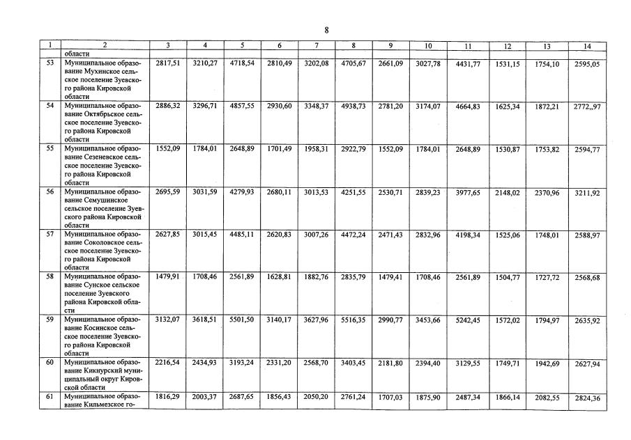
Постановление Правительства Кировской области от 09.11.2021 № 596-П
"О внесении изменения в постановление Правительства Кировской области от 28.06.2018 № 312-П"
Номер опубликования: 4300202111100008
Дата опубликования: 10.11.2021
Страница №9 из 34:
Увеличить