Официальное опубликование правовых актов
ОФИЦИАЛЬНОЕ ОПУБЛИКОВАНИЕ
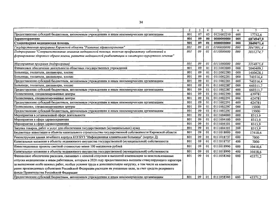
Закон Кировской области от 30.08.2021 № 504-ЗО
"О внесении изменений в Закон Кировской области "Об областном бюджете на 2021 год и на плановый период 2022 и 2023 годов"
Номер опубликования: 4300202109020003
Дата опубликования: 02.09.2021
Страница №146 из 230:
Увеличить