Официальное опубликование правовых актов
ОФИЦИАЛЬНОЕ ОПУБЛИКОВАНИЕ
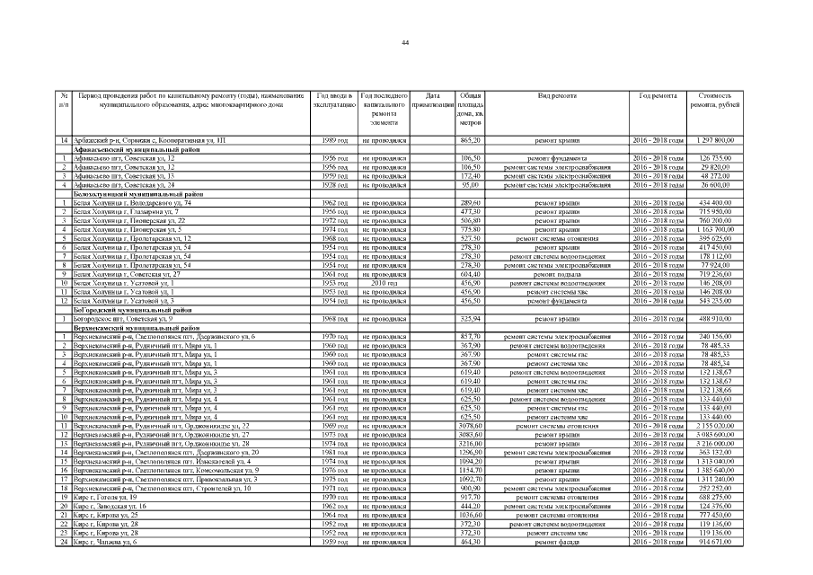
Постановление Правительства Кировской области от 29.06.2021 № 322-П
"О внесении изменений в постановление Правительства Кировской области от 21.03.2014 № 254/210"
Номер опубликования: 4300202107050006
Дата опубликования: 05.07.2021
Страница №45 из 1781:
Увеличить