Официальное опубликование правовых актов
ОФИЦИАЛЬНОЕ ОПУБЛИКОВАНИЕ
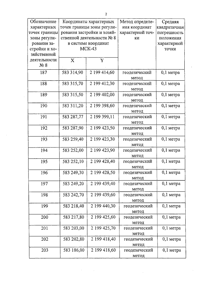
Постановление Правительства Кировской области от 15.04.2021 № 188-П
"О зонах охраны объекта культурного наследия (памятника истории и культуры) народов Российской Федерации регионального значения "Городская пожарная часть", расположенного по адресу: Кировская область, г. Киров, ул. Свободы, д. 113, требованиях к градостроительным регламентам в границах территорий данных зон и о признании утратившим силу постановления Правительства Кировской области от 09.10.2014 № 4/34"
Номер опубликования: 4300202104190002
Дата опубликования: 19.04.2021
Страница №37 из 94:
Увеличить