Официальное опубликование правовых актов
ОФИЦИАЛЬНОЕ ОПУБЛИКОВАНИЕ
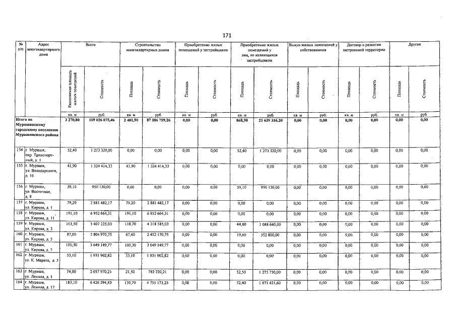
Постановление Правительства Кировской области от 28.12.2020 № 721-П
"О внесении изменений в постановление Правительства Кировской области от 18.06.2013 № 213/365"
Номер опубликования: 4300202012300028
Дата опубликования: 30.12.2020
Страница №172 из 195:
Увеличить