Официальное опубликование правовых актов
ОФИЦИАЛЬНОЕ ОПУБЛИКОВАНИЕ
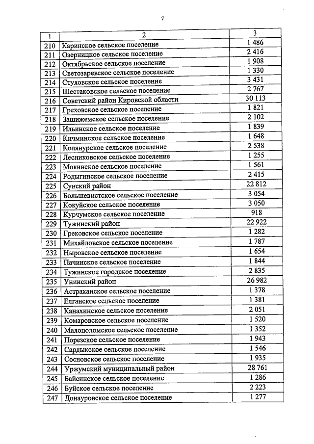
Постановление Правительства Кировской области от 26.12.2020 № 715-П
"О нормативах формирования расходов на содержание органов местного самоуправления муниципальных образований Кировской области на 2021 год"
Номер опубликования: 4300202012300020
Дата опубликования: 30.12.2020
Страница №9 из 10:
Увеличить