Официальное опубликование правовых актов
ОФИЦИАЛЬНОЕ ОПУБЛИКОВАНИЕ
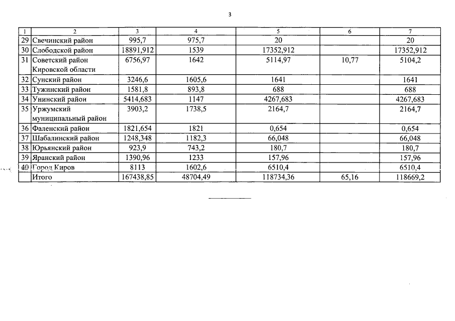
Закон Кировской области от 17.12.2020 № 433-ЗО
"О внесении изменений в Закон Кировской области "Об областном бюджете на 2020 год и на плановый период 2021 и 2022 годов"
Номер опубликования: 4300202012210011
Дата опубликования: 21.12.2020
Страница №213 из 291:
Увеличить