Официальное опубликование правовых актов
ОФИЦИАЛЬНОЕ ОПУБЛИКОВАНИЕ
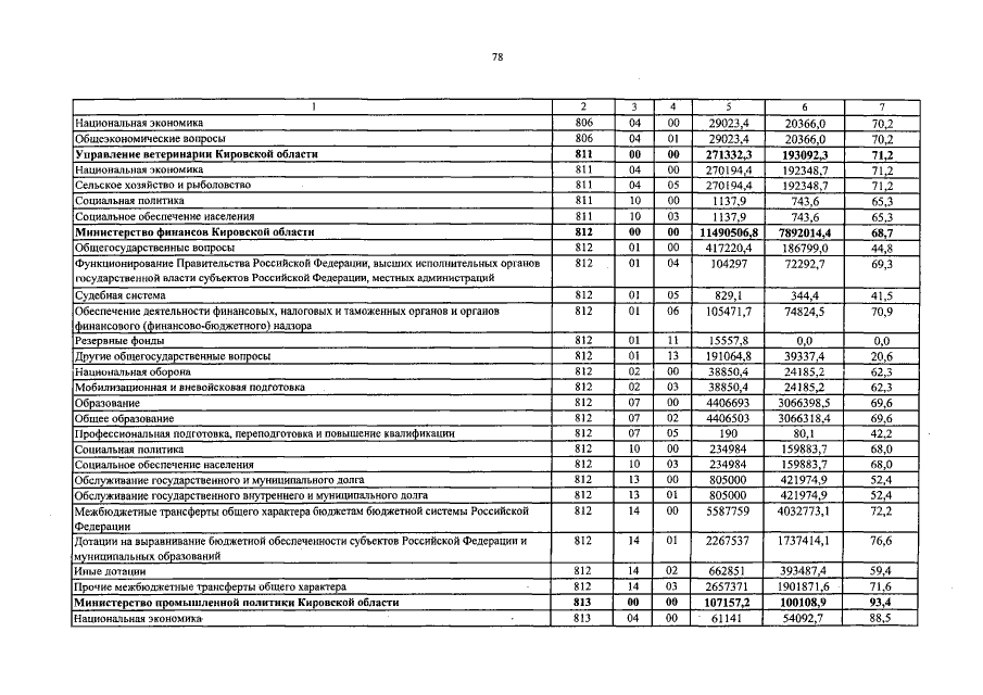
Постановление Правительства Кировской области от 02.12.2020 № 648-П
"Об утверждении отчета об исполнении областного бюджета за 9 месяцев 2020 года"
Номер опубликования: 4300202012040001
Дата опубликования: 04.12.2020
Страница №81 из 103:
Увеличить