Официальное опубликование правовых актов
ОФИЦИАЛЬНОЕ ОПУБЛИКОВАНИЕ
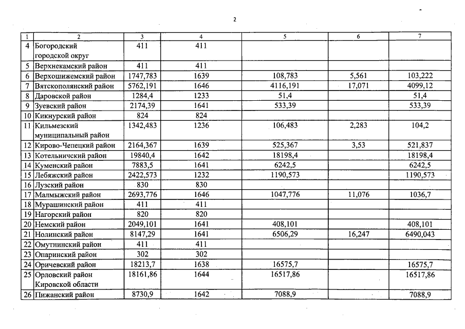
Закон Кировской области от 24.09.2020 № 394-ЗО
"О внесении изменений в Закон Кировской области "Об областном бюджете на 2020 год и на плановый период 2021 и 2022 годов"
Номер опубликования: 4300202009280013
Дата опубликования: 28.09.2020
Страница №233 из 317:
Увеличить