Официальное опубликование правовых актов
ОФИЦИАЛЬНОЕ ОПУБЛИКОВАНИЕ
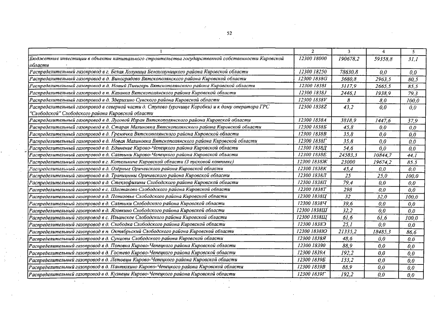
Постановление Правительства Кировской области от 07.09.2020 № 502-П
"Об утверждении отчета об исполнении областного бюджета за первое полугодие 2020 года"
Номер опубликования: 4300202009110017
Дата опубликования: 11.09.2020
Страница №53 из 93:
Увеличить