Официальное опубликование правовых актов
ОФИЦИАЛЬНОЕ ОПУБЛИКОВАНИЕ
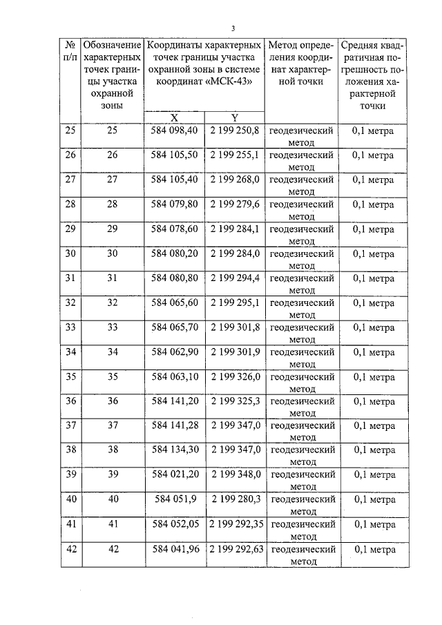
Постановление Правительства Кировской области от 03.07.2020 № 355-П
"Об установлении зон охраны объекта культурного наследия (памятника истории и культуры) народов Российской Федерации регионального значения и утверждении требований к градостроительным регламентам в границах территорий данных зон"
Номер опубликования: 4300202007060002
Дата опубликования: 06.07.2020
Страница №6 из 34:
Увеличить