Официальное опубликование правовых актов
ОФИЦИАЛЬНОЕ ОПУБЛИКОВАНИЕ
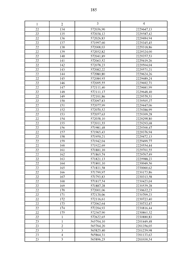
Постановление Правительства Кировской области от 25.06.2020 № 333-П
"Об утверждении границ особо охраняемой природной территории регионального значения "Зеленая зона городов Кирова, Кирово-Чепецка и Слободского"
Номер опубликования: 4300202007020013
Дата опубликования: 02.07.2020
Страница №186 из 7060:
Увеличить