Официальное опубликование правовых актов
ОФИЦИАЛЬНОЕ ОПУБЛИКОВАНИЕ
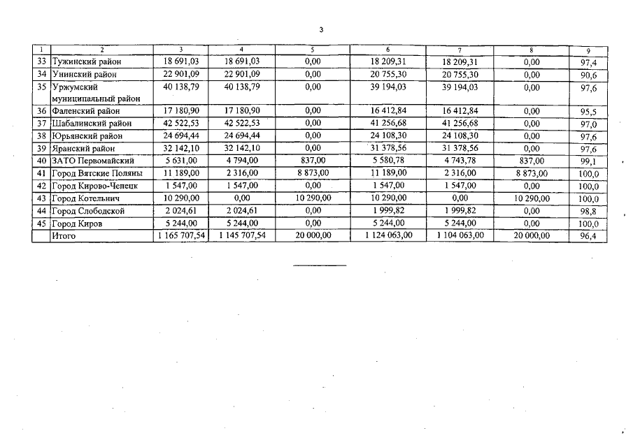
Закон Кировской области от 04.06.2020 № 367-ЗО
"Об исполнении областного бюджета за 2019 год"
Номер опубликования: 4300202006050007
Дата опубликования: 05.06.2020
Страница №262 из 323:
Увеличить