Официальное опубликование правовых актов
ОФИЦИАЛЬНОЕ ОПУБЛИКОВАНИЕ
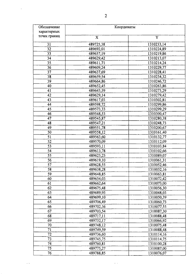
Постановление Правительства Кировской области от 13.04.2020 № 162-П
"Об утверждении границ территории памятников природы регионального значения "Озеро Ширей" и "Озеро Бездонное"
Номер опубликования: 4300202004200001
Дата опубликования: 20.04.2020
Страница №15 из 17:
Увеличить