Официальное опубликование правовых актов
ОФИЦИАЛЬНОЕ ОПУБЛИКОВАНИЕ
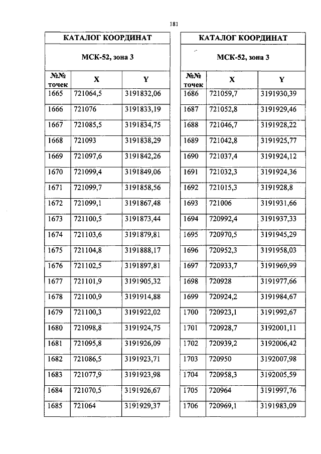
Закон Кировской области от 03.03.2020 № 354-ЗО
"Об утверждении Соглашения между Кировской областью и Нижегородской областью об описании местоположения границы между Кировской областью и Нижегородской областью"
Номер опубликования: 4300202003050015
Дата опубликования: 05.03.2020
Страница №182 из 269:
Увеличить