Официальное опубликование правовых актов
ОФИЦИАЛЬНОЕ ОПУБЛИКОВАНИЕ
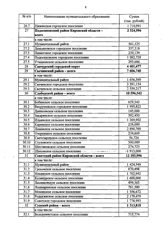
Закон Кировской области от 26.02.2020 № 346-ЗО
"О внесении изменений в Закон Кировской области "Об областном бюджете на 2020 год и на плановый период 2021 и 2022 годов"
Номер опубликования: 4300202002280005
Дата опубликования: 28.02.2020
Страница №207 из 236:
Увеличить