Официальное опубликование правовых актов
ОФИЦИАЛЬНОЕ ОПУБЛИКОВАНИЕ
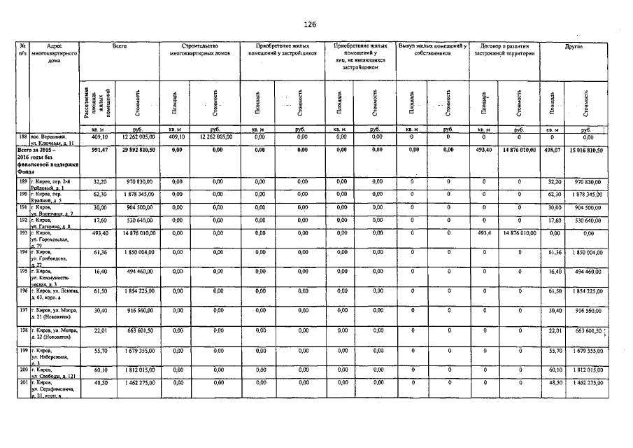
Постановление Правительства Кировской области от 23.01.2020 № 23-П
"О внесении изменений в постановление Правительства Кировской области от 18.06.2013 № 213/365"
Номер опубликования: 4300202001270002
Дата опубликования: 27.01.2020
Страница №127 из 195:
Увеличить