Официальное опубликование правовых актов
ОФИЦИАЛЬНОЕ ОПУБЛИКОВАНИЕ
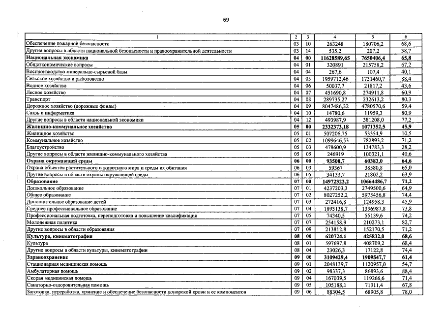
Постановление Правительства Кировской области от 16.12.2019 № 645-П
"Об утверждении отчета об исполнении областного бюджета за 9 месяцев 2019 года и о мерах по исполнению областного бюджета 2019 года"
Номер опубликования: 4300201912190001
Дата опубликования: 19.12.2019
Страница №72 из 87:
Увеличить