Официальное опубликование правовых актов
ОФИЦИАЛЬНОЕ ОПУБЛИКОВАНИЕ
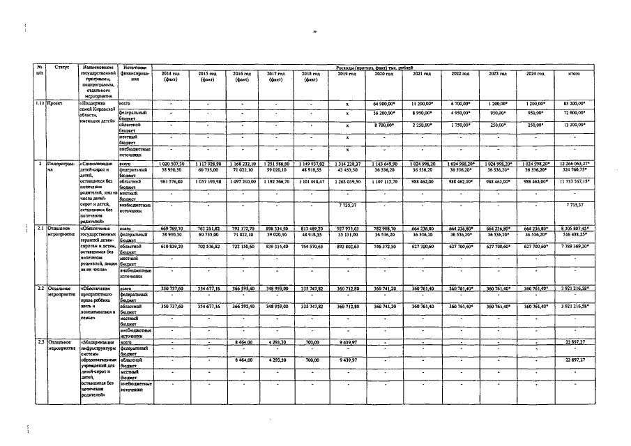
Постановление Правительства Кировской области от 11.12.2019 № 637-П
"О внесении изменений в постановление Правительства Кировской области от 10.09.2013 № 226/595"
Номер опубликования: 4300201912130001
Дата опубликования: 13.12.2019
Страница №80 из 133:
Увеличить