Официальное опубликование правовых актов
ОФИЦИАЛЬНОЕ ОПУБЛИКОВАНИЕ
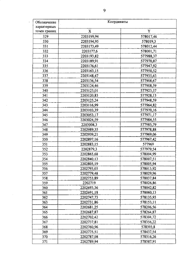
Постановление Правительства Кировской области от 05.11.2019 № 574-П
"О реорганизации особо охраняемых природных территорий"
Номер опубликования: 4300201911070005
Дата опубликования: 07.11.2019
Страница №11 из 14:
Увеличить